7  Exploratory Data Analysis

This chapter introduces the initial graphical exploration of data using the DataExplorer package. We begin by importing the babies data.

Note that the following are very useful functions that will not be executed in this page

DataExplorer::create_report()

summarytools::dfSummary() %>% summarytools::stview()

SmartEDA::ExpReport()

We begin by reading in the data and retaining

Code
df_schisto <- 
    readxl::read_xlsx("C:/Dataset/Schisto.xlsx") %>%
    janitor::clean_names() %>%
    rename(
        weight = q35weight,
        height = q36height,
        sex = q4sex,
        religion = q6religion, 
        schisto = sh,
        educ_status = educationalstatus,
        ageyrs = q3age) %>% 
    mutate(
        across(where(is.character), as.factor), 
        schisto = case_when(
            schisto == "+" ~ "+", schisto == "++" ~ "++",
            schisto == "+++" ~ "+++", schisto == "++++" ~ "++++", 
            TRUE ~ "nil") %>% 
            factor(levels = c("nil", "+", "++", "+++", "++++"))) %>% 
    select(
        serial_no, ageyrs, sex, religion, educ_status, 
        height, weight, hb, wbc, schisto) 

7.1 General overview

We begin with a general overview of the data

Code
df_schisto %>% glimpse()
Rows: 367
Columns: 10
$ serial_no   <fct> AB001, AB002, AB003, AB004, AB005, AB006, AB007, AB008, AB…
$ ageyrs      <dbl> 7, 10, 18, 15, 12, 16, 10, 9, 14, 10, 8, 15, 16, 14, 10, 1…
$ sex         <fct> Male, Male, Female, Male, Male, Male, Male, Female, Male, …
$ religion    <fct> Christianity, Christianity, Christianity, Christianity, Ch…
$ educ_status <fct> Primary, Primary, JSS, JSS, JSS, Primary, Primary, Primary…
$ height      <dbl> 124, 128, 160, 155, 115, 154, 135, 130, 140, 120, 129, 161…
$ weight      <dbl> 22, 23, 44, 45, 32, 40, 28, 26, 30, 20, 25, 53, 56, 32, 27…
$ hb          <dbl> 11.3, 12.5, 11.5, 12.8, NA, 11.1, 106.0, 11.1, 11.5, 11.4,…
$ wbc         <dbl> 4.3, 5.3, 5.6, 5.5, NA, 6.6, 36.0, 11.8, 8.9, 7.6, 6.6, 12…
$ schisto     <fct> nil, +++, nil, nil, nil, nil, +++, nil, ++, nil, +, +++, n…

And then

Code
df_schisto %>% summary()
   serial_no       ageyrs          sex              religion    educ_status 
 AB001  :  1   Min.   : 7.00   Female:173   Christianity:310   JSS    :132  
 AB002  :  1   1st Qu.:10.00   Male  :194   Islam       : 54   Primary:235  
 AB003  :  1   Median :13.00                Other       :  3                
 AB004  :  1   Mean   :12.53                                                
 AB005  :  1   3rd Qu.:14.00                                                
 AB006  :  1   Max.   :22.00                                                
 (Other):361                                                                
     height          weight            hb              wbc         schisto   
 Min.   :  1.0   Min.   :14.00   Min.   :  0.00   Min.   : 3.000   nil :187  
 1st Qu.:132.1   1st Qu.:26.00   1st Qu.: 10.60   1st Qu.: 5.500   +   : 60  
 Median :144.0   Median :34.00   Median : 11.30   Median : 6.400   ++  :101  
 Mean   :143.3   Mean   :35.43   Mean   : 12.06   Mean   : 6.971   +++ : 17  
 3rd Qu.:155.0   3rd Qu.:44.00   3rd Qu.: 12.30   3rd Qu.: 7.700   ++++:  2  
 Max.   :179.0   Max.   :73.00   Max.   :106.00   Max.   :69.000             
 NA's   :2       NA's   :1       NA's   :44       NA's   :44                 

And the use the psych package

Code
df_schisto %>% 
    psych::describe() %>% 
    gt::gt()
vars n mean sd median trimmed mad min max range skew kurtosis se
1 367 184.000000 106.0880138 184.0 184.000000 136.39920 1 367 366 0.00000000 -1.2098136 5.53774924
2 367 12.531335 2.7931364 13.0 12.569492 2.96520 7 22 15 -0.07146908 -0.5265028 0.14580053
3 367 1.528610 0.4998623 2.0 1.535593 0.00000 1 2 1 -0.11416104 -1.9923738 0.02609260
4 367 1.163488 0.3918247 1.0 1.071186 0.00000 1 3 2 2.21210549 4.0274272 0.02045308
5 367 1.640327 0.4805597 2.0 1.674576 0.00000 1 2 1 -0.58242346 -1.6652983 0.02508501
6 365 143.345479 17.1064255 144.0 143.964505 16.30860 1 179 178 -2.68721957 19.9992944 0.89539123
7 366 35.425683 11.0480493 34.0 34.740816 12.60210 14 73 59 0.52005879 -0.4067768 0.57749079
8 323 12.056099 6.9148939 11.3 11.441313 1.18608 0 106 106 11.31950211 138.9357885 0.38475499
9 323 6.970588 4.3153311 6.4 6.517375 1.48260 3 69 66 10.31191015 136.1447174 0.24011145
10 367 1.874659 1.0030477 1.0 1.772881 0.00000 1 5 4 0.65661252 -0.8219767 0.05235866

And then plot this overview

Code
df_schisto %>% 
    DataExplorer::plot_intro()

Code
df_schisto %>% 
    summarytools::dfSummary()
Data Frame Summary  
df_schisto  
Dimensions: 367 x 10  
Duplicates: 0  

-------------------------------------------------------------------------------------------------------------
No   Variable      Stats / Values             Freqs (% of Valid)   Graph                 Valid      Missing  
---- ------------- -------------------------- -------------------- --------------------- ---------- ---------
1    serial_no     1. AB001                     1 ( 0.3%)                                367        0        
     [factor]      2. AB002                     1 ( 0.3%)                                (100.0%)   (0.0%)   
                   3. AB003                     1 ( 0.3%)                                                    
                   4. AB004                     1 ( 0.3%)                                                    
                   5. AB005                     1 ( 0.3%)                                                    
                   6. AB006                     1 ( 0.3%)                                                    
                   7. AB007                     1 ( 0.3%)                                                    
                   8. AB008                     1 ( 0.3%)                                                    
                   9. AB009                     1 ( 0.3%)                                                    
                   10. AB010                    1 ( 0.3%)                                                    
                   [ 357 others ]             357 (97.3%)          IIIIIIIIIIIIIIIIIII                       

2    ageyrs        Mean (sd) : 12.5 (2.8)     14 distinct values         :               367        0        
     [numeric]     min < med < max:                                    . :               (100.0%)   (0.0%)   
                   7 < 13 < 22                                       : : : :                                 
                   IQR (CV) : 4 (0.2)                              . : : : :                                 
                                                                   : : : : : :                               

3    sex           1. Female                  173 (47.1%)          IIIIIIIII             367        0        
     [factor]      2. Male                    194 (52.9%)          IIIIIIIIII            (100.0%)   (0.0%)   

4    religion      1. Christianity            310 (84.5%)          IIIIIIIIIIIIIIII      367        0        
     [factor]      2. Islam                    54 (14.7%)          II                    (100.0%)   (0.0%)   
                   3. Other                     3 ( 0.8%)                                                    

5    educ_status   1. JSS                     132 (36.0%)          IIIIIII               367        0        
     [factor]      2. Primary                 235 (64.0%)          IIIIIIIIIIII          (100.0%)   (0.0%)   

6    height        Mean (sd) : 143.3 (17.1)   69 distinct values                 :       365        2        
     [numeric]     min < med < max:                                            : :       (99.5%)    (0.5%)   
                   1 < 144 < 179                                               : :                           
                   IQR (CV) : 22.9 (0.1)                                       : : .                         
                                                                             . : : :                         

7    weight        Mean (sd) : 35.4 (11)      57 distinct values     . :                 366        1        
     [numeric]     min < med < max:                                  : : :               (99.7%)    (0.3%)   
                   14 < 34 < 73                                      : : : : :                               
                   IQR (CV) : 18 (0.3)                               : : : : : :                             
                                                                   : : : : : : : :                           

8    hb            Mean (sd) : 12.1 (6.9)     64 distinct values     :                   323        44       
     [numeric]     min < med < max:                                  :                   (88.0%)    (12.0%)  
                   0 < 11.3 < 106                                    :                                       
                   IQR (CV) : 1.7 (0.6)                            : :                                       
                                                                   : :                                       

9    wbc           Mean (sd) : 7 (4.3)        80 distinct values   :                     323        44       
     [numeric]     min < med < max:                                :                     (88.0%)    (12.0%)  
                   3 < 6.4 < 69                                    :                                         
                   IQR (CV) : 2.2 (0.6)                            :                                         
                                                                   : .                                       

10   schisto       1. nil                     187 (51.0%)          IIIIIIIIII            367        0        
     [factor]      2. +                        60 (16.3%)          III                   (100.0%)   (0.0%)   
                   3. ++                      101 (27.5%)          IIIII                                     
                   4. +++                      17 ( 4.6%)                                                    
                   5. ++++                      2 ( 0.5%)                                                    
-------------------------------------------------------------------------------------------------------------
Code
df_schisto %>% 
    dlookr::describe() %>% 
    flextable::flextable()
Registered S3 methods overwritten by 'dlookr':
  method          from  
  plot.transform  scales
  print.transform scales

described_variables

n

na

mean

sd

se_mean

IQR

skewness

kurtosis

p00

p01

p05

p10

p20

p25

p30

p40

p50

p60

p70

p75

p80

p90

p95

p99

p100

ageyrs

367

0

12.531335

2.793136

0.1458005

4.0

-0.07205703

-0.5034971

7

7.000

8.000

8.6

10.0

10.0

11.00

12.0

13.0

14.0

14.00

14.0

15.0

16.00

17.00

18.000

22

height

365

2

143.345479

17.106426

0.8953912

22.9

-2.70944834

20.4208986

1

115.320

122.000

125.0

130.0

132.1

135.00

140.0

144.0

150.0

153.00

155.0

157.0

162.00

165.80

172.720

179

weight

366

1

35.425683

11.048049

0.5774908

18.0

0.52434890

-0.3813894

14

17.825

20.625

23.0

25.0

26.0

28.00

30.0

34.0

37.0

41.05

44.0

45.0

51.00

55.00

60.350

73

hb

323

44

12.056099

6.914894

0.3847550

1.7

11.42540136

142.0263060

0

8.544

9.710

10.0

10.5

10.6

10.76

11.0

11.3

11.7

12.20

12.3

12.7

13.30

14.10

19.420

106

wbc

323

44

6.970588

4.315331

0.2401114

2.2

10.40838291

139.1739083

3

3.600

4.200

4.6

5.2

5.5

5.70

6.1

6.4

6.7

7.20

7.7

8.0

8.98

10.19

14.368

69

And using the psych package

Code
df_schisto %>% 
    psych::describe()%>% 
    flextable::flextable()

vars

n

mean

sd

median

trimmed

mad

min

max

range

skew

kurtosis

se

1

367

184.000000

106.0880138

184.0

184.000000

136.39920

1

367

366

0.00000000

-1.2098136

5.53774924

2

367

12.531335

2.7931364

13.0

12.569492

2.96520

7

22

15

-0.07146908

-0.5265028

0.14580053

3

367

1.528610

0.4998623

2.0

1.535593

0.00000

1

2

1

-0.11416104

-1.9923738

0.02609260

4

367

1.163488

0.3918247

1.0

1.071186

0.00000

1

3

2

2.21210549

4.0274272

0.02045308

5

367

1.640327

0.4805597

2.0

1.674576

0.00000

1

2

1

-0.58242346

-1.6652983

0.02508501

6

365

143.345479

17.1064255

144.0

143.964505

16.30860

1

179

178

-2.68721957

19.9992944

0.89539123

7

366

35.425683

11.0480493

34.0

34.740816

12.60210

14

73

59

0.52005879

-0.4067768

0.57749079

8

323

12.056099

6.9148939

11.3

11.441313

1.18608

0

106

106

11.31950211

138.9357885

0.38475499

9

323

6.970588

4.3153311

6.4

6.517375

1.48260

3

69

66

10.31191015

136.1447174

0.24011145

10

367

1.874659

1.0030477

1.0

1.772881

0.00000

1

5

4

0.65661252

-0.8219767

0.05235866

7.2 Missing data

Next, we derive explore the missing data. The plot outlines the percentage of missing data for each with the legend showing if the number of missing is good, ok or bad.

Code
df_schisto %>% 
    DataExplorer::plot_missing()

Also,

Code
df_schisto %>% inspectdf::inspect_na()
# A tibble: 10 × 3
   col_name      cnt   pcnt
   <chr>       <int>  <dbl>
 1 hb             44 12.0  
 2 wbc            44 12.0  
 3 height          2  0.545
 4 weight          1  0.272
 5 serial_no       0  0    
 6 ageyrs          0  0    
 7 sex             0  0    
 8 religion        0  0    
 9 educ_status     0  0    
10 schisto         0  0    
Code
df_schisto %>% 
    inspectdf::inspect_na() %>% 
    inspectdf::show_plot()

7.3 Categorical variables

We begin by exploring the categorical variables

Code
df_schisto %>% 
    dlookr::diagnose_category() %>% 
    flextable::flextable()

variables

levels

N

freq

ratio

rank

serial_no

AB001

367

1

0.2724796

1

serial_no

AB002

367

1

0.2724796

1

serial_no

AB003

367

1

0.2724796

1

serial_no

AB004

367

1

0.2724796

1

serial_no

AB005

367

1

0.2724796

1

serial_no

AB006

367

1

0.2724796

1

serial_no

AB007

367

1

0.2724796

1

serial_no

AB008

367

1

0.2724796

1

serial_no

AB009

367

1

0.2724796

1

serial_no

AB010

367

1

0.2724796

1

sex

Male

367

194

52.8610354

1

sex

Female

367

173

47.1389646

2

religion

Christianity

367

310

84.4686649

1

religion

Islam

367

54

14.7138965

2

religion

Other

367

3

0.8174387

3

educ_status

Primary

367

235

64.0326975

1

educ_status

JSS

367

132

35.9673025

2

schisto

nil

367

187

50.9536785

1

schisto

++

367

101

27.5204360

2

schisto

+

367

60

16.3487738

3

schisto

+++

367

17

4.6321526

4

schisto

++++

367

2

0.5449591

5

Next we visualise categorical variable with a barplot

Code
df_schisto %>% 
    DataExplorer::plot_bar()
1 columns ignored with more than 50 categories.
serial_no: 367 categories

7.4 Continuous variables

Now to continuous variables

Code
df_schisto %>% 
    dlookr::diagnose_numeric() %>% 
    flextable::flextable()

variables

min

Q1

mean

median

Q3

max

zero

minus

outlier

ageyrs

7

10.0

12.531335

13.0

14.0

22

0

0

1

height

1

132.1

143.345479

144.0

155.0

179

0

0

2

weight

14

26.0

35.425683

34.0

44.0

73

0

0

1

hb

0

10.6

12.056099

11.3

12.3

106

1

0

11

wbc

3

5.5

6.970588

6.4

7.7

69

0

0

11

Code
df_schisto %>% 
    DataExplorer::plot_histogram()

Code
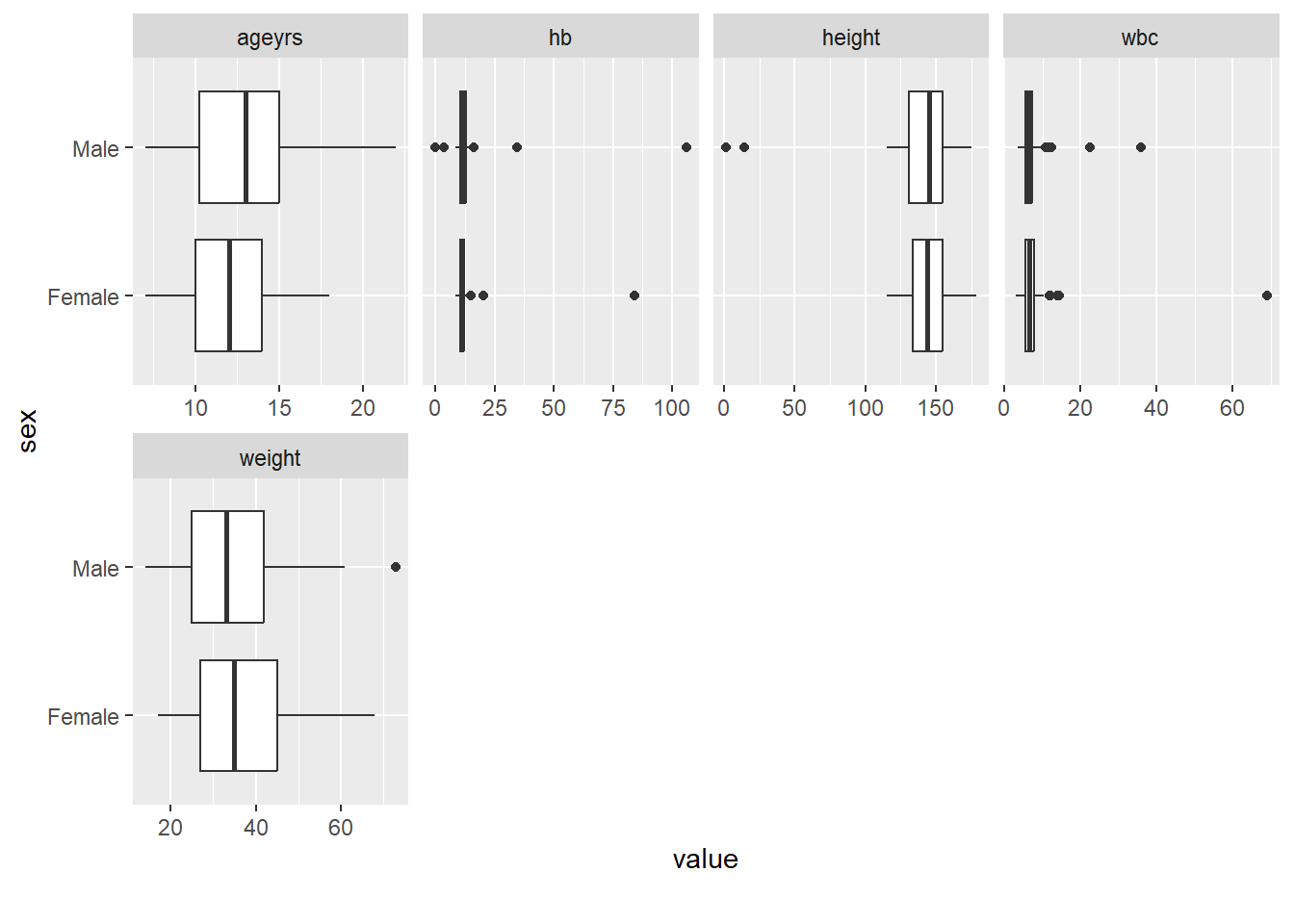
df_schisto %>% 
    DataExplorer::plot_boxplot(by = "sex")
Warning: Removed 91 rows containing non-finite outside the scale range
(`stat_boxplot()`).

Code
df_schisto %>% 
    DataExplorer::plot_density()

Code
df_schisto %>% 
    DataExplorer::plot_qq()
Warning: Removed 91 rows containing non-finite outside the scale range
(`stat_qq()`).
Warning: Removed 91 rows containing non-finite outside the scale range
(`stat_qq_line()`).

Code
df_schisto %>% 
    DataExplorer::plot_qq( by = "sex", )
Warning: Removed 91 rows containing non-finite outside the scale range
(`stat_qq()`).
Warning: Removed 91 rows containing non-finite outside the scale range
(`stat_qq_line()`).

7.5 Outliers

Code
df_schisto %>% 
    dlookr::diagnose_outlier() %>% 
    flextable::flextable()

variables

outliers_cnt

outliers_ratio

outliers_mean

with_mean

without_mean

ageyrs

1

0.2724796

22.00000

12.531335

12.505464

height

2

0.5449591

7.50000

143.345479

144.093939

weight

1

0.2724796

73.00000

35.425683

35.322740

hb

11

2.9972752

29.53818

12.056099

11.439744

wbc

11

2.9972752

20.62727

6.970588

6.489103

7.6 Correlation

Next, we look out for correlation in the continuous variables

Code
df_schisto %>% 
    drop_na() %>% 
    DataExplorer::plot_correlation(type = "continuous")

Code
df_schisto %>% 
    inspectdf::inspect_cor() %>% 
    gt::gt()
col_1 col_2 corr p_value lower upper pcnt_nna
weight ageyrs 0.83575342 4.371335e-57 0.80194882 0.86422281 99.72752
weight height 0.75009720 3.290736e-46 0.70145737 0.79178220 99.45504
height ageyrs 0.70453743 5.672262e-41 0.64880952 0.75274836 99.45504
wbc hb 0.28626877 3.040303e-07 0.18285212 0.38341964 88.01090
wbc weight -0.16376652 3.444966e-03 -0.26826329 -0.05546070 87.73842
wbc ageyrs -0.15931163 4.373943e-03 -0.26385339 -0.05107053 88.01090
wbc height -0.07384756 1.878753e-01 -0.18184639 0.03591164 87.46594
hb height 0.05835664 2.980390e-01 -0.05144086 0.16676021 87.46594
hb weight 0.05297294 3.440838e-01 -0.05665361 0.16133735 87.73842
hb ageyrs 0.02064046 7.119579e-01 -0.08868829 0.12947780 88.01090
Code
df_schisto %>% 
    inspectdf::inspect_cor() %>%
    inspectdf::show_plot()

Code
numeric_df <- 
    df_schisto %>%
    select(where(is.numeric)) 

PerformanceAnalytics::chart.Correlation(
    numeric_df,
    histogram = T,
    pch = 12
)

7.7 Scatterplots

Next is scatterplots

Code
df_schisto %>% 
    DataExplorer::plot_scatterplot(by = "weight")
Warning: Removed 9 rows containing missing values or values outside the scale range
(`geom_point()`).